BusphotoBUSPHOTO

Picture Statistics

532 KB


Picture ID:293954
File Size:532 KB
Author:Flying Dutchman
Publication Date:26.08.2019 09:11 EET
Days in Database:2354
Unique views:248
Comments:0

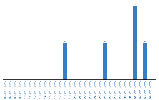
Viewing statistics by date