BusphotoBUSPHOTO

Picture Statistics

475 KB


Picture ID:285815
File Size:475 KB
Author:Valius Kedainietis
Publication Date:25.06.2019 00:03 EET
Days in Database:2417
Unique views:300
Comments:0

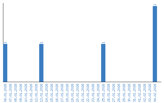
Viewing statistics by date