BusphotoBUSPHOTO

Picture Statistics

488 KB


Picture ID:280557
File Size:488 KB
Author:Valius Kedainietis
Publication Date:11.05.2019 15:20 EET
Days in Database:2465
Unique views:297
Comments:0

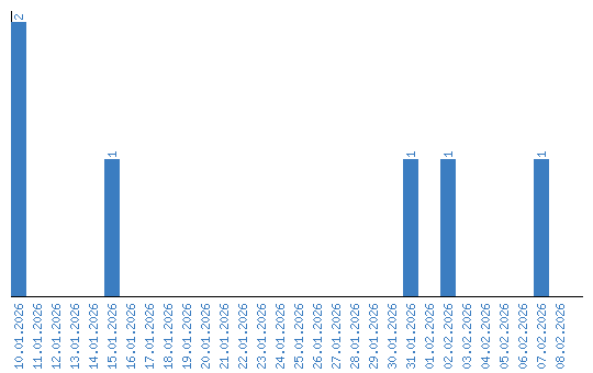
Viewing statistics by date