BusphotoBUSPHOTO

Picture Statistics

342 KB


Picture ID:276347
File Size:342 KB
Author:Metropolitan456
Publication Date:07.04.2019 11:14 EET
Days in Database:2497
Unique views:320
Comments:0

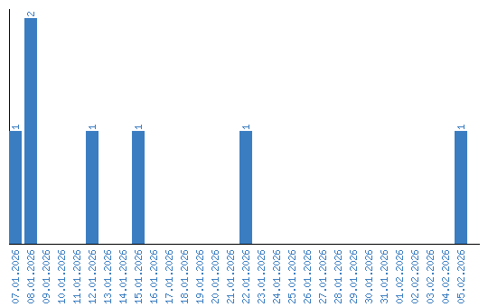
Viewing statistics by date