BusphotoBUSPHOTO

Picture Statistics

472 KB


Picture ID:271963
File Size:472 KB
Author:DylanWild94
Publication Date:07.03.2019 08:11 EET
Days in Database:2531
Unique views:366
Comments:0

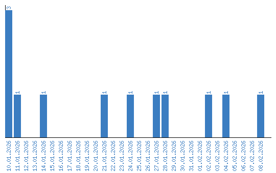
Viewing statistics by date