BusfotoBUSFOTO

Bildinformationen

579 KB


Foto-ID:263971
Dateigröße:579 KB
Aufgenommen von:DylanWild94
Veröffentlicht am:01.01.2019 09:57 EET
Tage seit Veröffentlichung:2592
Aufrufe:374
Kommentare:0

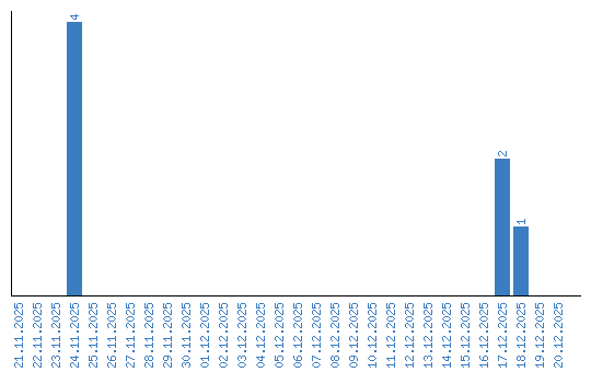
Aufrufestatistik (Tage)