BusphotoBUSPHOTO

Picture Statistics

290 KB


Picture ID:262405
File Size:290 KB
Author:Światosław Neuhauz
Publication Date:19.12.2018 00:00 EET
Days in Database:2602
Unique views:431
Comments:0

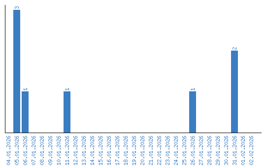
Viewing statistics by date