BusphotoBUSPHOTO

Picture Statistics

249 KB


Picture ID:2609
File Size:249 KB
Fotografato da:Pavel_Икарус280
Publication Date:09.03.2011 21:47 EET
Days in Database:5399
Unique views:376
Comments:0

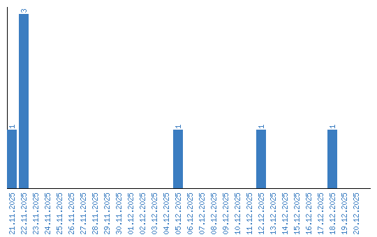
Viewing statistics by date