BusphotoBUSPHOTO

Picture Statistics

162 KB


Picture ID:259767
File Size:162 KB
Author:olegp
Publication Date:28.11.2018 07:42 EET
Days in Database:2622
Unique views:213
Comments:0

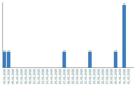
Viewing statistics by date