BusphotoBUSPHOTO

Picture Statistics

1005 KB


Picture ID:259655
File Size:1005 KB
Author:John M.
Publication Date:27.11.2018 12:15 EET
Days in Database:2628
Unique views:247
Comments:0

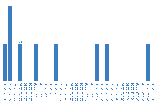
Viewing statistics by date