BusphotoBUSPHOTO

Picture Statistics

900 KB


Picture ID:254518
File Size:900 KB
Author:John M.
Publication Date:19.10.2018 23:48 EET
Days in Database:2665
Unique views:172
Comments:0

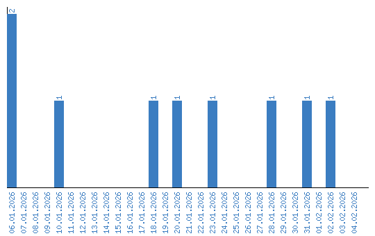
Viewing statistics by date