BusphotoBUSPHOTO

Picture Statistics

218 KB


Picture ID:251577
File Size:218 KB
Author:krajewski
Publication Date:26.09.2018 02:47 EET
Days in Database:2683
Unique views:412
Comments:0

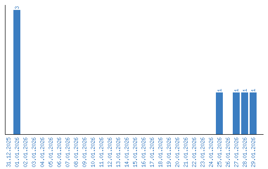
Viewing statistics by date