BusphotoBUSPHOTO

Picture Statistics

479 KB


Picture ID:247286
File Size:479 KB
Author:marqoos_pl
Publication Date:22.08.2018 21:47 EET
Days in Database:2724
Unique views:199
Comments:0

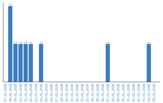
Viewing statistics by date