BusphotoBUSPHOTO

Picture Statistics

480 KB


Picture ID:245440
File Size:480 KB
Author:Exile3457
Publication Date:07.08.2018 21:32 EET
Days in Database:2738
Unique views:484
Comments:0

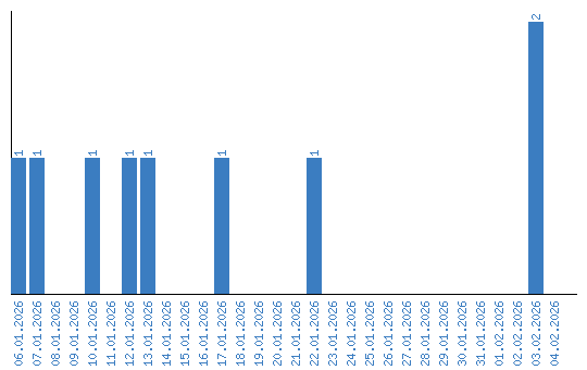
Viewing statistics by date