BusphotoBUSPHOTO

Picture Statistics

402 KB


Picture ID:244918
File Size:402 KB
Author:Сергей KeySee
Publication Date:03.08.2018 20:13 EET
Days in Database:2743
Unique views:403
Comments:0

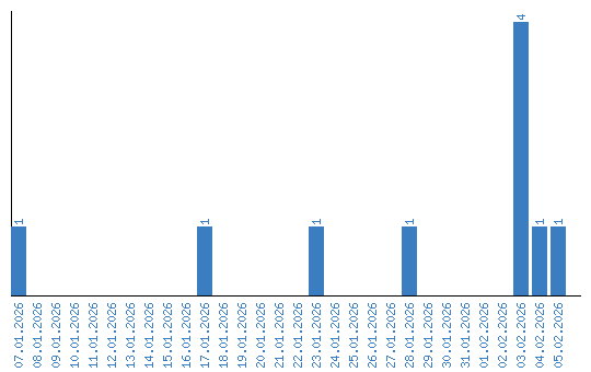
Viewing statistics by date