BusphotoBUSPHOTO

Picture Statistics

486 KB


Picture ID:240769
File Size:486 KB
Author:Valius Kedainietis
Publication Date:30.06.2018 19:55 EET
Days in Database:2734
Unique views:282
Comments:0

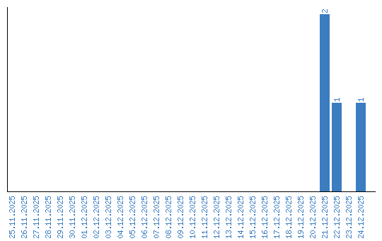
Viewing statistics by date