BusphotoBUSPHOTO

Picture Statistics

288 KB


Picture ID:238570
File Size:288 KB
Author:Der Zugchef
Publication Date:15.06.2018 23:12 EET
Days in Database:2792
Unique views:207
Comments:0

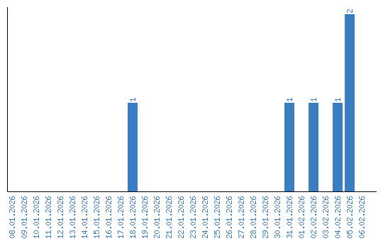
Viewing statistics by date