BusphotoBUSPHOTO

Picture Statistics

442 KB


Picture ID:237444
File Size:442 KB
Author:busfreak
Publication Date:07.06.2018 22:15 EET
Days in Database:2775
Unique views:306
Comments:0

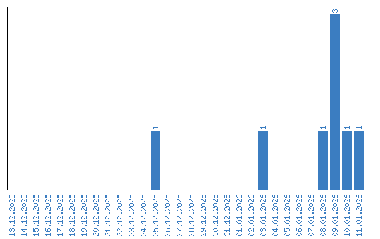
Viewing statistics by date