BusphotoBUSPHOTO

Nuotraukos informacija

396 Kb


Nuotraukos identifikatorius:229942
Bylos dydis:396 Kb
Autorius:rdstedall
Publikuota:18.04.2018 10:00 EET
Yra tinklapyje dienų:2850
Unikalių peržiūrų:361
Komentarų:0

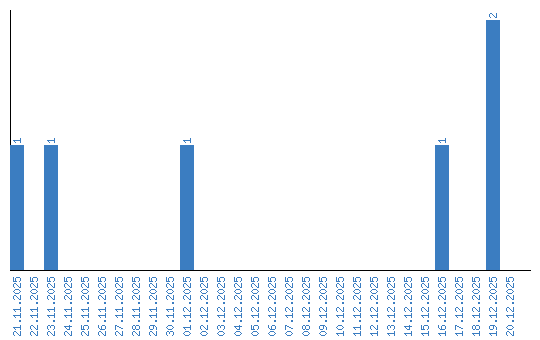
Peržiūrų dinamika pagal dienas