BusphotoBUSPHOTO

Picture Statistics

1046 KB


Picture ID:227887
File Size:1046 KB
Author:John M.
Publication Date:06.04.2018 18:51 EET
Days in Database:2864
Unique views:163
Comments:0

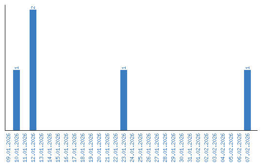
Viewing statistics by date