BusphotoBUSPHOTO

Picture Statistics

474 KB


Picture ID:225619
File Size:474 KB
Author:alex26
Publication Date:24.03.2018 09:43 EET
Days in Database:2875
Unique views:426
Comments:0

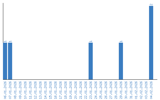
Viewing statistics by date