BusphotoBUSPHOTO

Picture Statistics

303 KB


Picture ID:225060
File Size:303 KB
Author:olegp
Publication Date:20.03.2018 20:29 EET
Days in Database:2878
Unique views:408
Comments:0

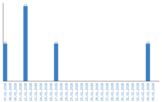
Viewing statistics by date