BusphotoBUSPHOTO

Picture Statistics

212 KB


Picture ID:221866
File Size:212 KB
Author:olegp
Publication Date:01.03.2018 12:26 EET
Days in Database:2898
Unique views:220
Comments:0

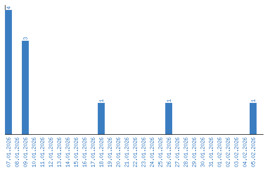
Viewing statistics by date