BusphotoBUSPHOTO

Picture Statistics

257 KB


Picture ID:221823
File Size:257 KB
Author:Bussmicke
Publication Date:28.02.2018 21:55 EET
Days in Database:2900
Unique views:249
Comments:0

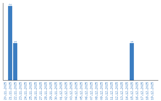
Viewing statistics by date