BusphotoBUSPHOTO

Picture Statistics

338 KB


Picture ID:219902
File Size:338 KB
Author:burunghant75
Publication Date:17.02.2018 09:57 EET
Days in Database:2910
Unique views:291
Comments:0

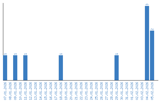
Viewing statistics by date