BusphotoBUSPHOTO

Информация за снимката

437 КБ


Идентификатор на снимки:219857
Размер на файла:437 КБ
Автор:Димар Техзвуков
Качено:16.02.2018 21:42 EET
Стоящо в сайта, дни:2865
Уникални преглеждания:293
Коментари:0

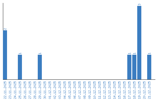
Динамика на преглежданията по дата