BusphotoBUSPHOTO

Picture Statistics

258 KB


Picture ID:218429
File Size:258 KB
Author:GavinKwok
Publication Date:08.02.2018 18:24 EET
Days in Database:2914
Unique views:331
Comments:0

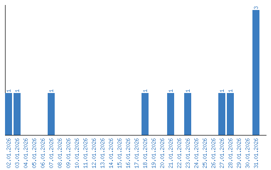
Viewing statistics by date