BusphotoBUSPHOTO

Picture Statistics

255 KB


Picture ID:214536
File Size:255 KB
Author:kajiurago
Publication Date:13.01.2018 12:28 EET
Days in Database:2903
Unique views:473
Comments:0

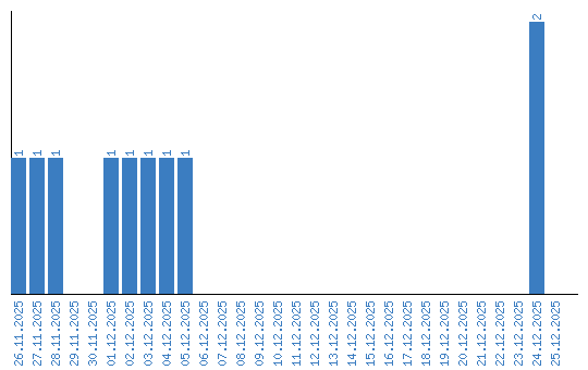
Viewing statistics by date