BusphotoBUSPHOTO

Picture Statistics

181 KB


Picture ID:210908
File Size:181 KB
Author:railbus ASANO
Publication Date:21.12.2017 07:37 EET
Days in Database:2945
Unique views:351
Comments:0

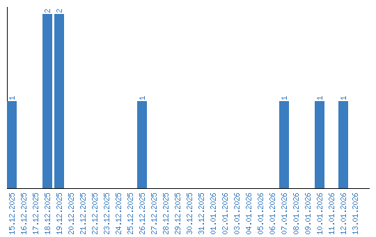
Viewing statistics by date