BusphotoBUSPHOTO

Picture Statistics

347 KB


Picture ID:209778
File Size:347 KB
Author:burunghant75
Publication Date:09.12.2017 15:05 EET
Days in Database:2932
Unique views:186
Comments:0

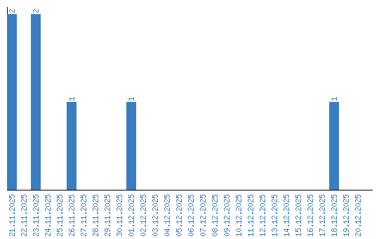
Viewing statistics by date