BusphotoBUSPHOTO

Picture Statistics

425 KB


Picture ID:204529
File Size:425 KB
Author:Brossel 8260
Publication Date:23.10.2017 22:05 EET
Days in Database:3028
Unique views:235
Comments:0

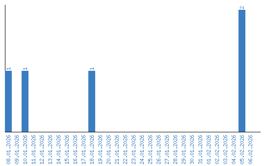
Viewing statistics by date