BusphotoBUSPHOTO

Picture Statistics

1036 KB


Picture ID:204141
File Size:1036 KB
Author:PR180.2
Publication Date:21.10.2017 16:57 EET
Days in Database:3029
Unique views:204
Comments:0

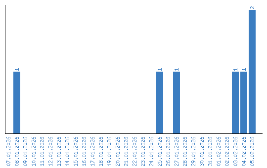
Viewing statistics by date