BusphotoBUSPHOTO

Picture Statistics

418 KB


Picture ID:202211
File Size:418 KB
Author:Brossel 8260
Publication Date:06.10.2017 20:10 EET
Days in Database:3043
Unique views:181
Comments:0

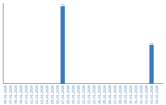
Viewing statistics by date