BusphotoBUSPHOTO

Picture Statistics

455 KB


Picture ID:193581
File Size:455 KB
Author:SavA
Publication Date:02.08.2017 09:19 EET
Days in Database:3106
Unique views:175
Comments:0

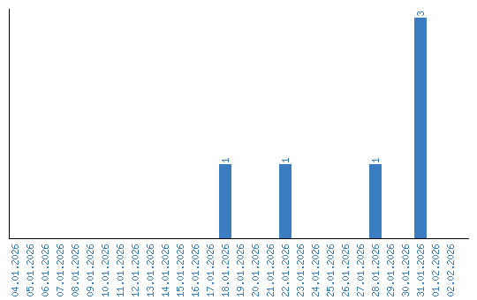
Viewing statistics by date