BusphotoBUSPHOTO

Statistiques d'images

468 KO


ID de l'image:193465
Taille du fichier:468 KO
Auteur:Сергей Шпиндлет
Date de publication:31.07.2017 21:45 EET
Jours dans la base de données:3063
Vues uniques:303
Commentaires:0

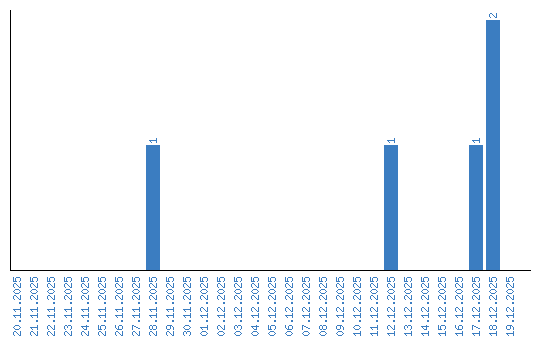
Affichage des statistiques par date