BusphotoBUSPHOTO

Picture Statistics

334 KB


Picture ID:189377
File Size:334 KB
Author:Archi
Publication Date:01.07.2017 09:40 EET
Days in Database:3142
Unique views:196
Comments:0

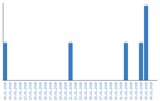
Viewing statistics by date