BusphotoBUSPHOTO

Picture Statistics

1004 KB


Picture ID:188174
File Size:1004 KB
Autorul:Cosme
Publication Date:20.06.2017 01:44 EET
Days in Database:3110
Unique views:419
Comments:0

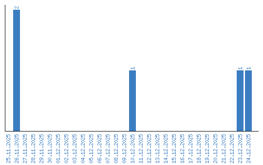
Viewing statistics by date