BusphotoBUSPHOTO

Picture Statistics

226 KB


Picture ID:18661
File Size:226 KB
Author:olegp
Publication Date:18.12.2011 20:22 EET
Days in Database:5160
Unique views:376
Comments:0

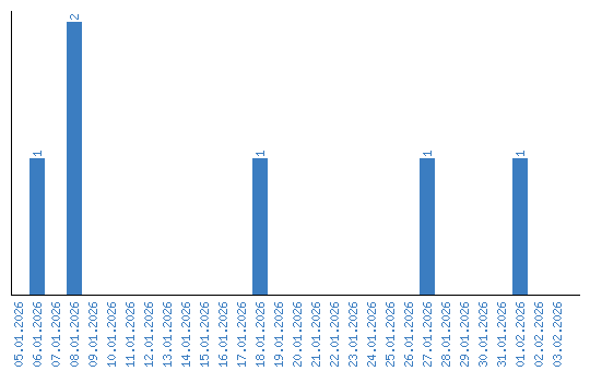
Viewing statistics by date