BusphotoBUSPHOTO

Picture Statistics

431 KB


Picture ID:185348
File Size:431 KB
Author:Brossel 8260
Publication Date:30.05.2017 15:57 EET
Days in Database:3173
Unique views:121
Comments:0

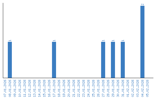
Viewing statistics by date