BusphotoBUSPHOTO

Picture Statistics

166 KB


Picture ID:184514
File Size:166 KB
Author:Block
Publication Date:25.05.2017 15:30 EET
Days in Database:3174
Unique views:233
Comments:0

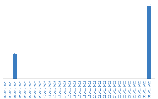
Viewing statistics by date