BusphotoBUSPHOTO

Picture Statistics

499 KB


Picture ID:183436
File Size:499 KB
Author:Mohamed SY
Publication Date:18.05.2017 22:38 EET
Days in Database:3185
Unique views:327
Comments:0

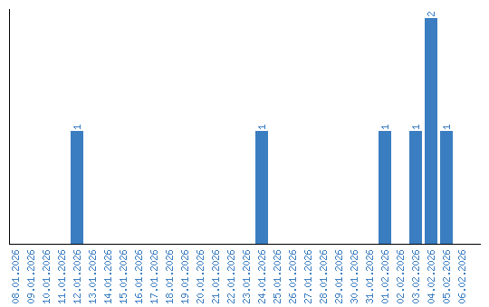
Viewing statistics by date