BusphotoBUSPHOTO

Picture Statistics

446 KB


Picture ID:181144
File Size:446 KB
Author:John M.
Publication Date:05.05.2017 22:50 EET
Days in Database:3193
Unique views:204
Comments:0

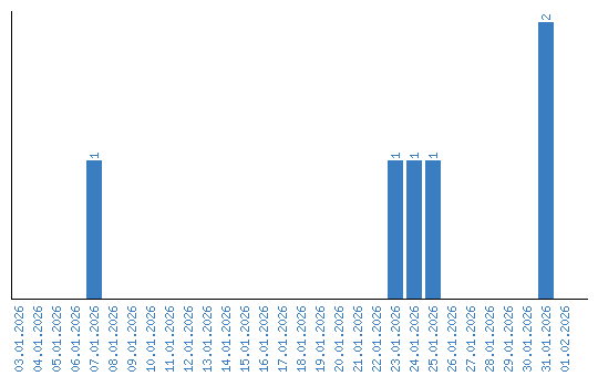
Viewing statistics by date