BusphotoBUSPHOTO

Picture Statistics

253 KB


Picture ID:179484
File Size:253 KB
Author:Der Zugchef
Publication Date:25.04.2017 22:06 EET
Days in Database:3165
Unique views:289
Comments:0

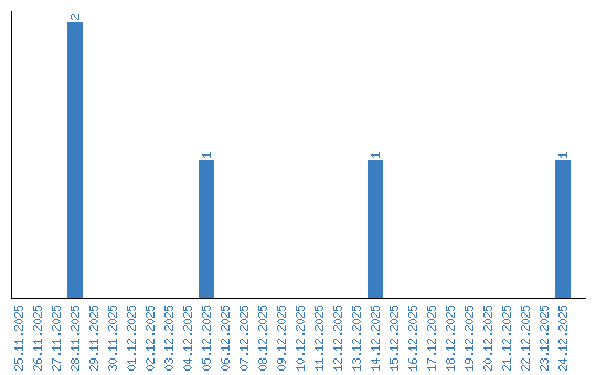
Viewing statistics by date