BusphotoBUSPHOTO

Picture Statistics

302 KB


Picture ID:177587
File Size:302 KB
Author:Valius Kedainietis
Publication Date:15.04.2017 16:54 EET
Days in Database:3217
Unique views:234
Comments:0

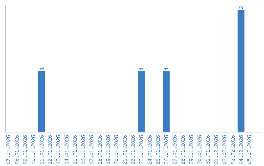
Viewing statistics by date