BusphotoBUSPHOTO

Picture Statistics

420 KB


Picture ID:176925
File Size:420 KB
Author:Valius Kedainietis
Publication Date:11.04.2017 23:24 EET
Days in Database:3214
Unique views:294
Comments:0

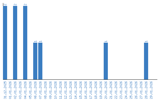
Viewing statistics by date