BusphotoBUSPHOTO

Picture Statistics

348 KB


Picture ID:176506
File Size:348 KB
Author:Rytis001
Publication Date:10.04.2017 00:33 EET
Days in Database:3224
Unique views:397
Comments:0

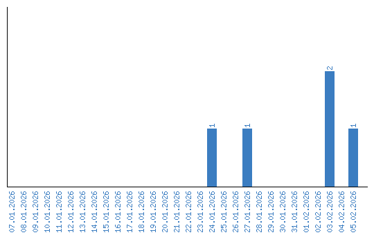
Viewing statistics by date