BusfotoBUSFOTO

Bildinformationen

454 KB


Foto-ID:175413
Dateigröße:454 KB
Aufgenommen von:AC Rover
Veröffentlicht am:06.04.2017 16:59 EET
Tage seit Veröffentlichung:3222
Aufrufe:226
Kommentare:1

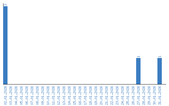
Aufrufestatistik (Tage)