BusphotoBUSPHOTO

Picture Statistics

148 KB


Picture ID:173411
File Size:148 KB
Author:olegp
Publication Date:25.03.2017 15:04 EET
Days in Database:3234
Unique views:221
Comments:0

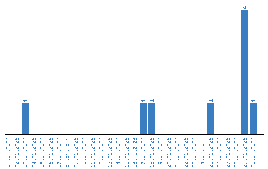
Viewing statistics by date