BusphotoBUSPHOTO

Picture Statistics

314 KB


Picture ID:171150
File Size:314 KB
Author:королёв юра
Publication Date:11.03.2017 21:38 EET
Days in Database:3253
Unique views:294
Comments:0

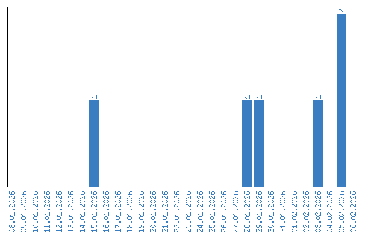
Viewing statistics by date