BusphotoBUSPHOTO

Picture Statistics

495 KB


Picture ID:170605
File Size:495 KB
Author:T131
Publication Date:09.03.2017 00:08 EET
Days in Database:3251
Unique views:282
Comments:0

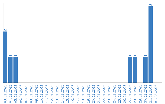
Viewing statistics by date